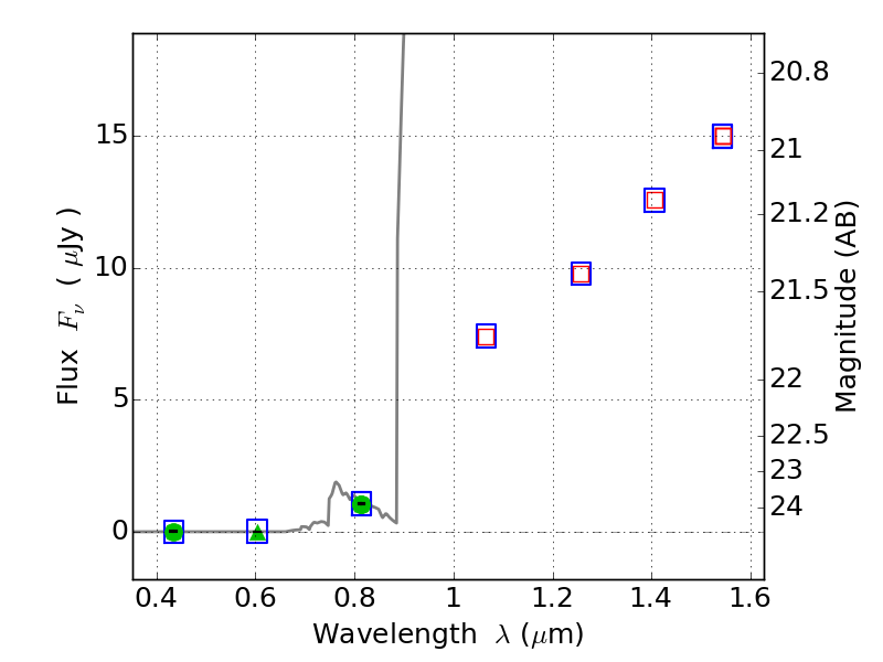
ABELL1300 ACS+IR detection object #1194

Color images and BPZ results
Catalog: 1194.cat
Black segments are analyzed here.   Roll mouse over color images to view segments.
Best viewed in a wide browser window (1200 pixels or more).   Download SED & P(z) plots to view larger versions.
In P(z) plots: Yellow lines mark the cluster redshift z = 0.307,  

Object #1194   x,y = (228, 3390)   RA, Dec = (11:32:04.032, -19:54:29.52) = (173.01680, -19.90820)   BPZ = 6.290 [5.928--8.776]   type = 6.00 (Sbc_B10)   chisq2 = 0.00   ODDS = 0.41   z_cluster = 0.307