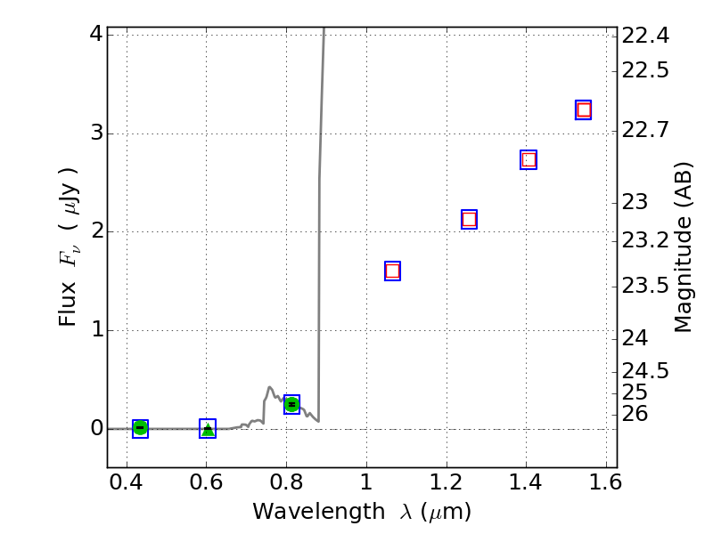
ABELL1300 ACS+IR detection object #116

Color images and BPZ results
Catalog: 116.cat
Black segments are analyzed here.   Roll mouse over color images to view segments.
Best viewed in a wide browser window (1200 pixels or more).   Download SED & P(z) plots to view larger versions.
In P(z) plots: Yellow lines mark the cluster redshift z = 0.307,  

Object #116   x,y = (3548, 4304)   RA, Dec = (11:31:49.896, -19:53:34.44) = (172.95790, -19.89290)   BPZ = 6.249 [5.807--9.213]   type = 6.00 (Sbc_B10)   chisq2 = 0.00   ODDS = 0.34   z_cluster = 0.307