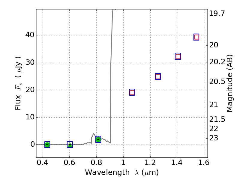
ABELL1300 ACS+IR detection object #1138

Color images and BPZ results
Catalog: 1138.cat
Black segments are analyzed here.   Roll mouse over color images to view segments.
Best viewed in a wide browser window (1200 pixels or more).   Download SED & P(z) plots to view larger versions.
In P(z) plots: Yellow lines mark the cluster redshift z = 0.307,  

Object #1138   x,y = (202, 3419)   RA, Dec = (11:32:04.128, -19:54:27.72) = (173.01720, -19.90770)   BPZ = 6.446 [6.054--8.644]   type = 6.00 (Sbc_B10)   chisq2 = 0.00   ODDS = 0.47   z_cluster = 0.307