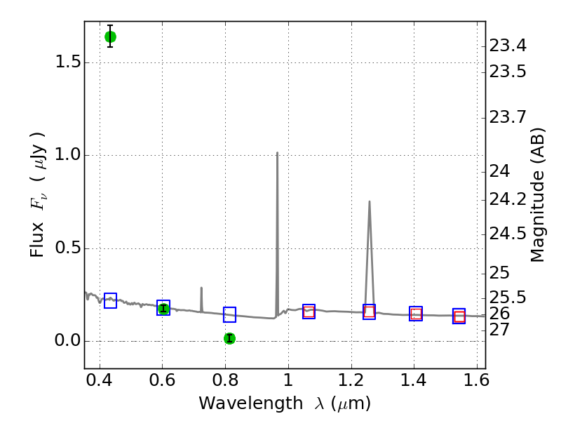
ABELL1300 ACS+IR detection object #112

Color images and BPZ results
Catalog: 112.cat
Black segments are analyzed here.   Roll mouse over color images to view segments.
Best viewed in a wide browser window (1200 pixels or more).   Download SED & P(z) plots to view larger versions.
In P(z) plots: Yellow lines mark the cluster redshift z = 0.307,  

Object #112   x,y = (3613, 4306)   RA, Dec = (11:31:49.632, -19:53:34.44) = (172.95680, -19.89290)   BPZ = 1.593 [1.456--2.085]   type = 11.00 (SB11_A_0_l)   chisq2 = 587.40   ODDS = 0.61   z_cluster = 0.307