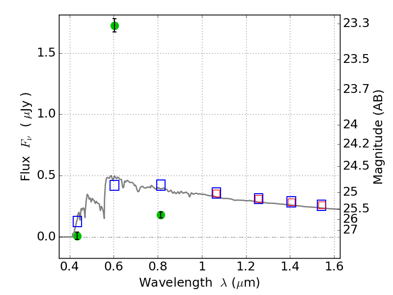
ABELL1300 ACS+IR detection object #909

Color images and BPZ results
Catalog: 909.cat
Black segments are analyzed here.   Roll mouse over color images to view segments.
Best viewed in a wide browser window (1200 pixels or more).   Download SED & P(z) plots to view larger versions.
In P(z) plots: Yellow lines mark the cluster redshift z = 0.307,  

Object #909   x,y = (3957, 3553)   RA, Dec = (11:31:48.168, -19:54:19.80) = (172.95070, -19.90550)   BPZ = 3.592 [3.464--3.661]   type = 11.00 (SB11_A_0_l)   chisq2 = 492.62   ODDS = 1.00   z_cluster = 0.307