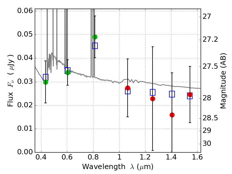
ABELL1300 ACS+IR detection object #651
Color images and BPZ results
Catalog: 651.cat
Black segments are analyzed here. Roll mouse over color images to view segments.
Best viewed in a wide browser window (1200 pixels or more). Download SED & P(z) plots to view larger versions.
In P(z) plots: Yellow lines mark the cluster redshift z = 0.307,
Object #651 x,y = (2125, 3712) RA, Dec = (11:31:55.944, -19:54:10.08) = (172.98310, -19.90280) BPZ = 0.202 [0.093--3.380] type = 11.00 (SB11_A_0_l) chisq2 = 0.12 ODDS = 0.19 z_cluster = 0.307