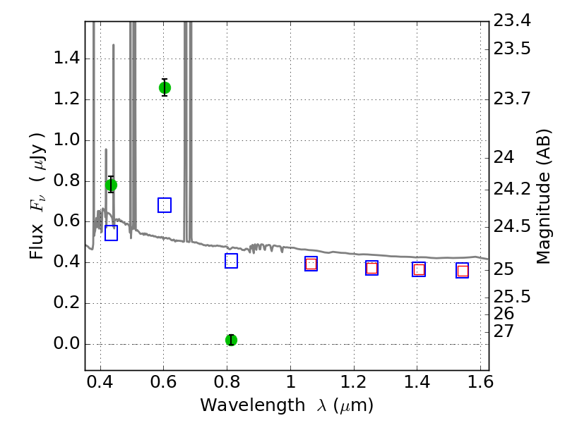
ABELL1300 ACS+IR detection object #526

Color images and BPZ results
Catalog: 526.cat
Black segments are analyzed here.   Roll mouse over color images to view segments.
Best viewed in a wide browser window (1200 pixels or more).   Download SED & P(z) plots to view larger versions.
In P(z) plots: Yellow lines mark the cluster redshift z = 0.307,  

Object #526   x,y = (3812, 3840)   RA, Dec = (11:31:48.792, -19:54:02.52) = (172.95330, -19.90070)   BPZ = 0.016 [0.010--0.031]   type = 11.00 (SB11_A_0_l)   chisq2 = 161.26   ODDS = 1.00   z_cluster = 0.307