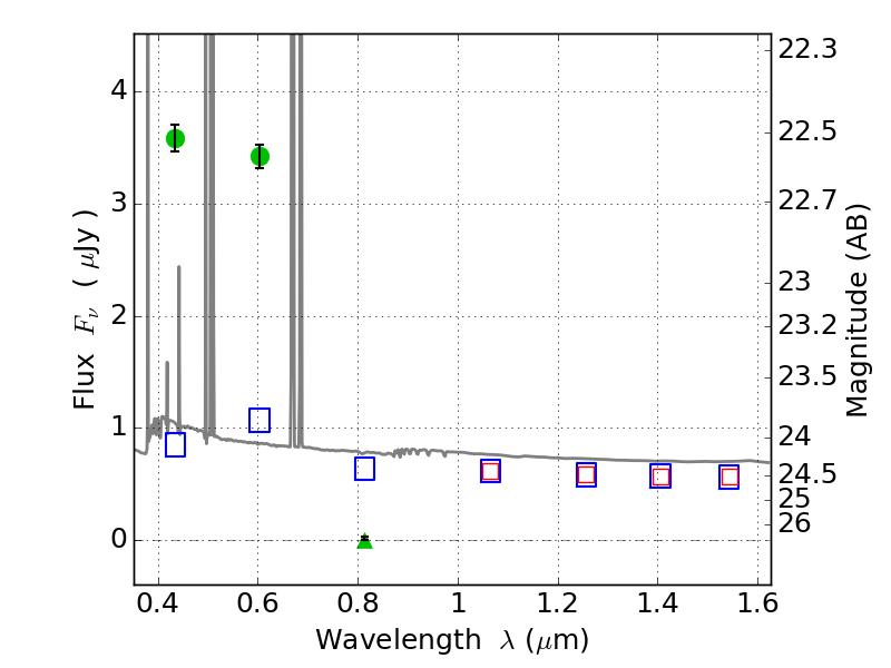
ABELL1300 ACS+IR detection object #5112

Color images and BPZ results
Catalog: 5112.cat
Black segments are analyzed here.   Roll mouse over color images to view segments.
Best viewed in a wide browser window (1200 pixels or more).   Download SED & P(z) plots to view larger versions.
In P(z) plots: Yellow lines mark the cluster redshift z = 0.307,  

Object #5112   x,y = (1238, 912)   RA, Dec = (11:31:59.736, -19:56:58.20) = (172.99890, -19.94950)   BPZ = 0.016 [0.010--0.031]   type = 11.00 (SB11_A_0_l)   chisq2 = 803.83   ODDS = 1.00   z_cluster = 0.307