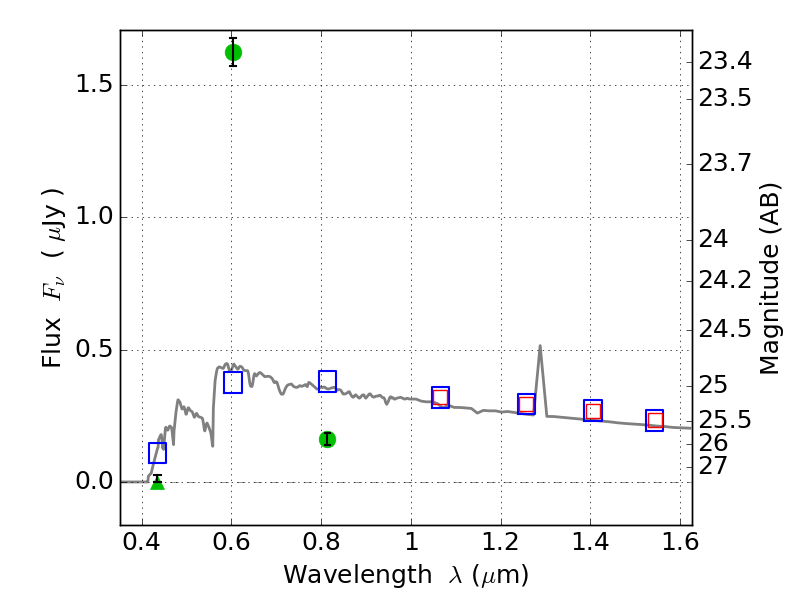
ABELL1300 ACS+IR detection object #509

Color images and BPZ results
Catalog: 509.cat
Black segments are analyzed here.   Roll mouse over color images to view segments.
Best viewed in a wide browser window (1200 pixels or more).   Download SED & P(z) plots to view larger versions.
In P(z) plots: Yellow lines mark the cluster redshift z = 0.307,  

Object #509   x,y = (3778, 3854)   RA, Dec = (11:31:48.912, -19:54:01.44) = (172.95380, -19.90040)   BPZ = 3.604 [3.491--3.674]   type = 11.00 (SB11_A_0_l)   chisq2 = 504.34   ODDS = 1.00   z_cluster = 0.307