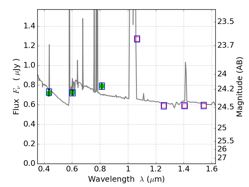
ABELL1300 ACS+IR detection object #5071

Color images and BPZ results
Catalog: 5071.cat
Black segments are analyzed here.   Roll mouse over color images to view segments.
Best viewed in a wide browser window (1200 pixels or more).   Download SED & P(z) plots to view larger versions.
In P(z) plots: Yellow lines mark the cluster redshift z = 0.307,  

Object #5071   x,y = (1511, 953)   RA, Dec = (11:31:58.560, -19:56:55.68) = (172.99400, -19.94880)   BPZ = 0.560 [0.474--2.374]   type = 10.90 (SB11_A_0_l - SB3_B10)   chisq2 = 0.01   ODDS = 0.16   z_cluster = 0.307