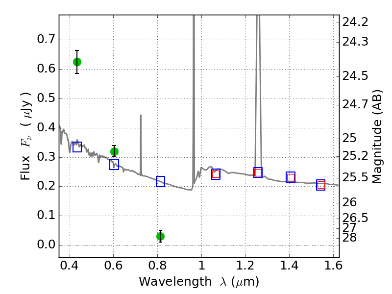
ABELL1300 ACS+IR detection object #4928
Color images and BPZ results
Catalog: 4928.cat
Black segments are analyzed here. Roll mouse over color images to view segments.
Best viewed in a wide browser window (1200 pixels or more). Download SED & P(z) plots to view larger versions.
In P(z) plots: Yellow lines mark the cluster redshift z = 0.307,
Object #4928 x,y = (1154, 1088) RA, Dec = (11:32:00.096, -19:56:47.40) = (173.00040, -19.94650) BPZ = 1.594 [1.476--2.072] type = 11.00 (SB11_A_0_l) chisq2 = 81.51 ODDS = 0.59 z_cluster = 0.307