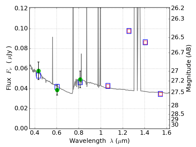
ABELL1300 ACS+IR detection object #4910
Color images and BPZ results
Catalog: 4910.cat
Black segments are analyzed here. Roll mouse over color images to view segments.
Best viewed in a wide browser window (1200 pixels or more). Download SED & P(z) plots to view larger versions.
In P(z) plots: Yellow lines mark the cluster redshift z = 0.307,
Object #4910 x,y = (2607, 1105) RA, Dec = (11:31:53.904, -19:56:46.68) = (172.97460, -19.94630) BPZ = 1.007 [0.534--2.507] type = 11.00 (SB11_A_0_l) chisq2 = 0.40 ODDS = 0.15 z_cluster = 0.307