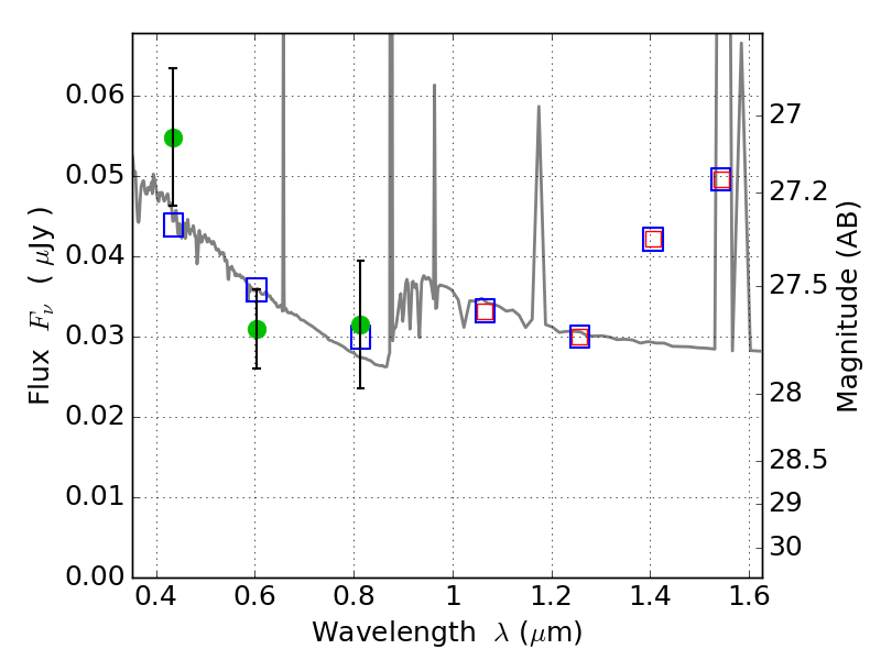
ABELL1300 ACS+IR detection object #4134

Color images and BPZ results
Catalog: 4134.cat
Black segments are analyzed here.   Roll mouse over color images to view segments.
Best viewed in a wide browser window (1200 pixels or more).   Download SED & P(z) plots to view larger versions.
In P(z) plots: Yellow lines mark the cluster redshift z = 0.307,  

Object #4134   x,y = (1562, 1654)   RA, Dec = (11:31:58.344, -19:56:13.56) = (172.99310, -19.93710)   BPZ = 1.351 [0.717--2.545]   type = 11.00 (SB11_A_0_l)   chisq2 = 2.11   ODDS = 0.13   z_cluster = 0.307