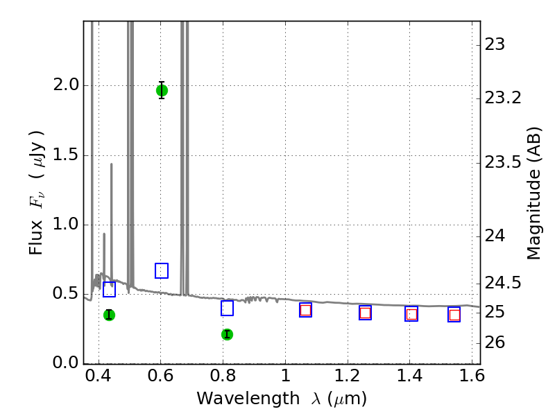
ABELL1300 ACS+IR detection object #3283

Color images and BPZ results
Catalog: 3283.cat
Black segments are analyzed here.   Roll mouse over color images to view segments.
Best viewed in a wide browser window (1200 pixels or more).   Download SED & P(z) plots to view larger versions.
In P(z) plots: Yellow lines mark the cluster redshift z = 0.307,  

Object #3283   x,y = (4570, 2100)   RA, Dec = (11:31:45.552, -19:55:46.92) = (172.93980, -19.92970)   BPZ = 0.016 [0.010--0.031]   type = 11.00 (SB11_A_0_l)   chisq2 = 324.28   ODDS = 1.00   z_cluster = 0.307