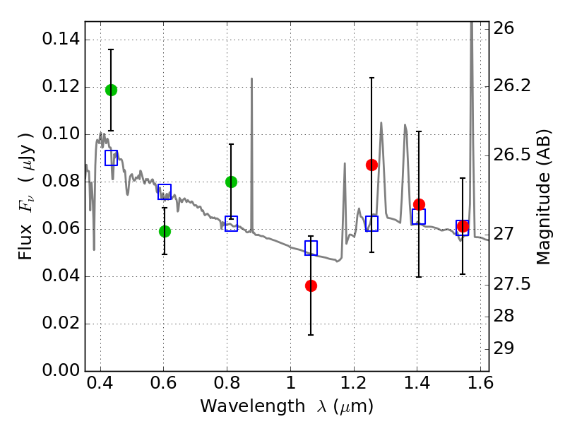
ABELL1300 ACS+IR detection object #3277

Color images and BPZ results
Catalog: 3277.cat
Black segments are analyzed here.   Roll mouse over color images to view segments.
Best viewed in a wide browser window (1200 pixels or more).   Download SED & P(z) plots to view larger versions.
In P(z) plots: Yellow lines mark the cluster redshift z = 0.307,  

Object #3277   x,y = (2236, 2099)   RA, Dec = (11:31:55.488, -19:55:46.92) = (172.98120, -19.92970)   BPZ = 2.139 [0.678--2.556]   type = 10.80 (SB11_A_0_l - SB3_B10)   chisq2 = 1.66   ODDS = 0.21   z_cluster = 0.307