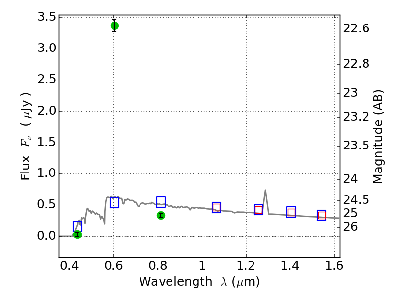
ABELL1300 ACS+IR detection object #3224

Color images and BPZ results
Catalog: 3224.cat
Black segments are analyzed here.   Roll mouse over color images to view segments.
Best viewed in a wide browser window (1200 pixels or more).   Download SED & P(z) plots to view larger versions.
In P(z) plots: Yellow lines mark the cluster redshift z = 0.307,  

Object #3224   x,y = (739, 2154)   RA, Dec = (11:32:01.848, -19:55:43.68) = (173.00770, -19.92880)   BPZ = 3.604 [3.495--3.677]   type = 11.00 (SB11_A_0_l)   chisq2 = 734.17   ODDS = 1.00   z_cluster = 0.307