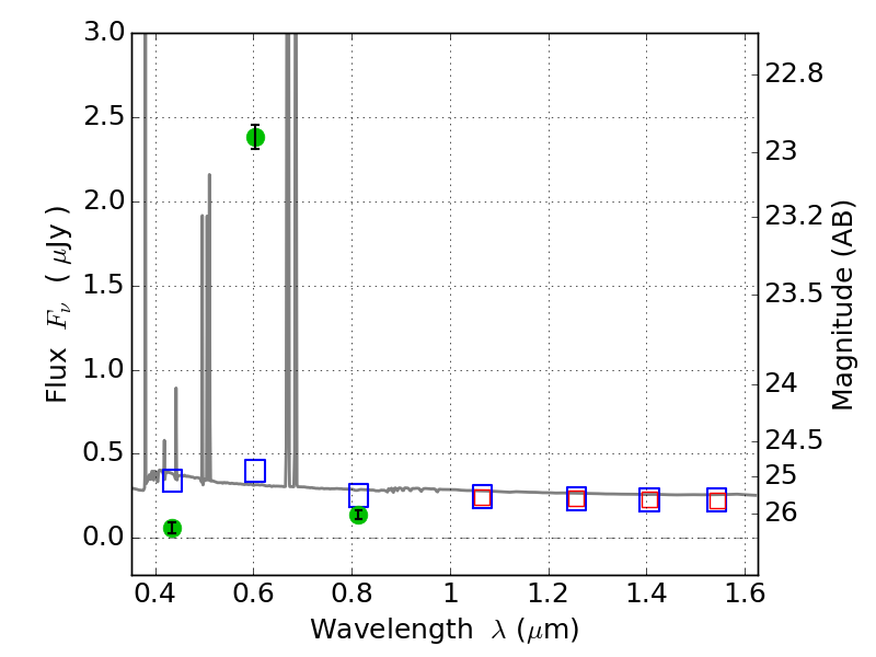
ABELL1300 ACS+IR detection object #310
Color images and BPZ results
Catalog: 310.cat
Black segments are analyzed here. Roll mouse over color images to view segments.
Best viewed in a wide browser window (1200 pixels or more). Download SED & P(z) plots to view larger versions.
In P(z) plots: Yellow lines mark the cluster redshift z = 0.307,
Object #310 x,y = (3713, 4002) RA, Dec = (11:31:49.200, -19:53:52.80) = (172.95500, -19.89800) BPZ = 0.017 [0.010--3.347] type = 11.00 (SB11_A_0_l) chisq2 = 718.41 ODDS = 0.97 z_cluster = 0.307