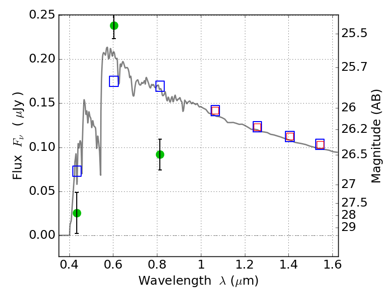
ABELL1300 ACS+IR detection object #2952

Color images and BPZ results
Catalog: 2952.cat
Black segments are analyzed here.   Roll mouse over color images to view segments.
Best viewed in a wide browser window (1200 pixels or more).   Download SED & P(z) plots to view larger versions.
In P(z) plots: Yellow lines mark the cluster redshift z = 0.307,  

Object #2952   x,y = (641, 2319)   RA, Dec = (11:32:02.280, -19:55:33.60) = (173.00950, -19.92600)   BPZ = 3.466 [2.941--3.670]   type = 11.00 (SB11_A_0_l)   chisq2 = 27.94   ODDS = 0.81   z_cluster = 0.307