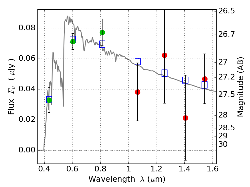
ABELL1300 ACS+IR detection object #2803
Color images and BPZ results
Catalog: 2803.cat
Black segments are analyzed here. Roll mouse over color images to view segments.
Best viewed in a wide browser window (1200 pixels or more). Download SED & P(z) plots to view larger versions.
In P(z) plots: Yellow lines mark the cluster redshift z = 0.307,
Object #2803 x,y = (1258, 2382) RA, Dec = (11:31:59.640, -19:55:30.00) = (172.99850, -19.92500) BPZ = 3.424 [0.250--3.649] type = 11.00 (SB11_A_0_l) chisq2 = 0.65 ODDS = 0.64 z_cluster = 0.307