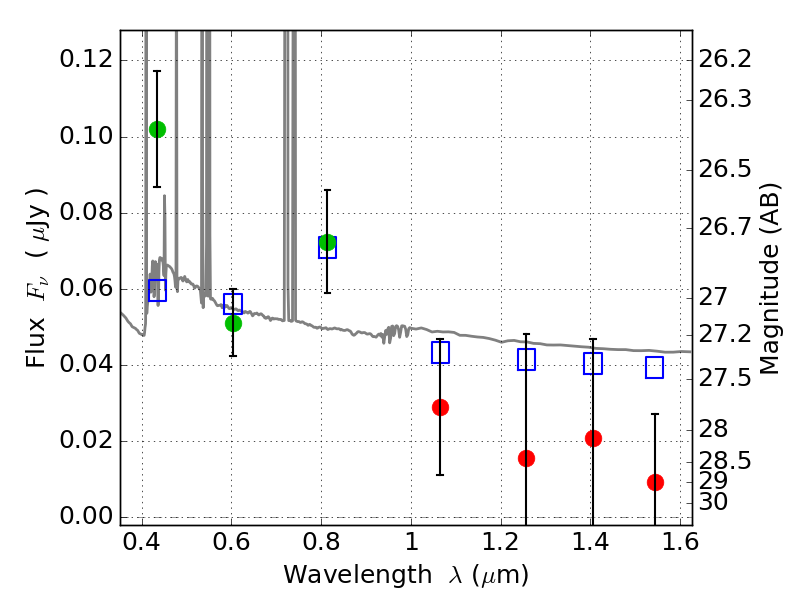
ABELL1300 ACS+IR detection object #2789

Color images and BPZ results
Catalog: 2789.cat
Black segments are analyzed here.   Roll mouse over color images to view segments.
Best viewed in a wide browser window (1200 pixels or more).   Download SED & P(z) plots to view larger versions.
In P(z) plots: Yellow lines mark the cluster redshift z = 0.307,  

Object #2789   x,y = (2781, 2380)   RA, Dec = (11:31:53.160, -19:55:30.00) = (172.97150, -19.92500)   BPZ = 0.097 [0.082--2.675]   type = 11.00 (SB11_A_0_l)   chisq2 = 2.92   ODDS = 0.14   z_cluster = 0.307