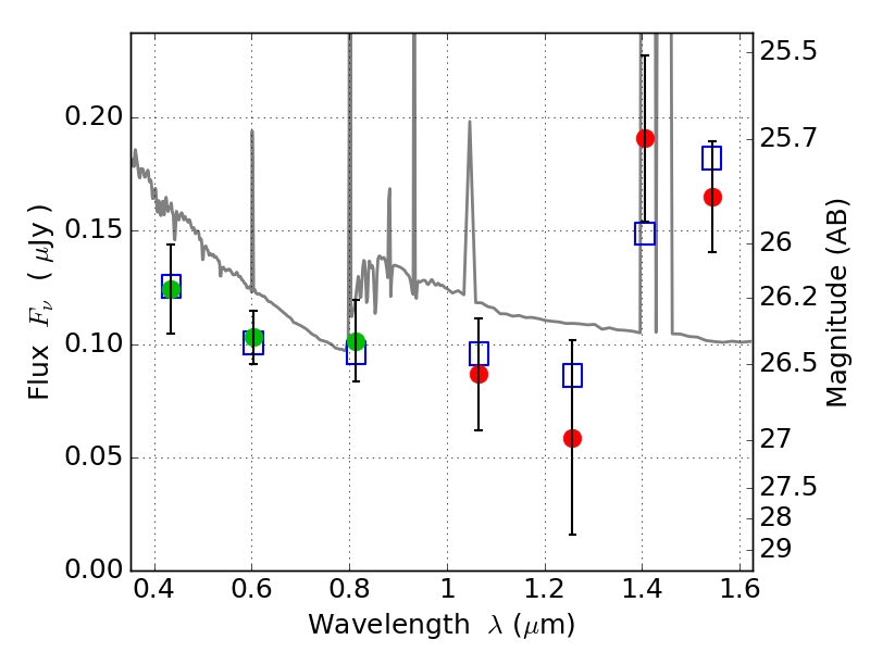
ABELL1300 ACS+IR detection object #2736

Color images and BPZ results
Catalog: 2736.cat
Black segments are analyzed here.   Roll mouse over color images to view segments.
Best viewed in a wide browser window (1200 pixels or more).   Download SED & P(z) plots to view larger versions.
In P(z) plots: Yellow lines mark the cluster redshift z = 0.307,  

Object #2736   x,y = (2840, 2445)   RA, Dec = (11:31:52.920, -19:55:26.04) = (172.97050, -19.92390)   BPZ = 1.149 [1.128--2.696]   type = 11.00 (SB11_A_0_l)   chisq2 = 0.53   ODDS = 0.20   z_cluster = 0.307