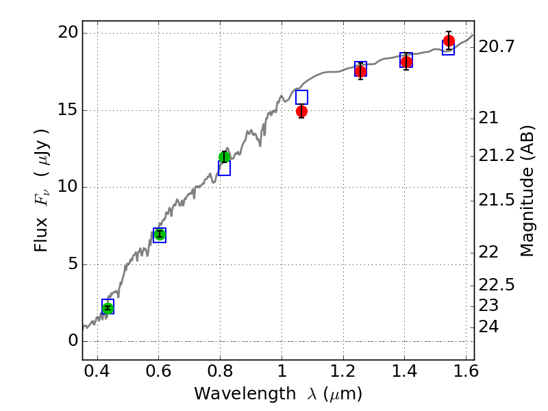
ABELL1300 ACS+IR detection object #2631
Color images and BPZ results
Catalog: 2631.cat
Black segments are analyzed here. Roll mouse over color images to view segments.
Best viewed in a wide browser window (1200 pixels or more). Download SED & P(z) plots to view larger versions.
In P(z) plots: Yellow lines mark the cluster redshift z = 0.307,
Object #2631 x,y = (1967, 2507) RA, Dec = (11:31:56.640, -19:55:22.44) = (172.98600, -19.92290) BPZ = 0.093 [0.058--0.124] type = 3.90 (Ell4_A_0 - Ell5_A_0) chisq2 = 0.23 ODDS = 0.99 z_cluster = 0.307