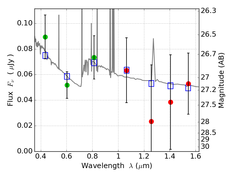
ABELL1300 ACS+IR detection object #1799
Color images and BPZ results
Catalog: 1799.cat
Black segments are analyzed here. Roll mouse over color images to view segments.
Best viewed in a wide browser window (1200 pixels or more). Download SED & P(z) plots to view larger versions.
In P(z) plots: Yellow lines mark the cluster redshift z = 0.307,
Object #1799 x,y = (3834, 2990) RA, Dec = (11:31:48.696, -19:54:53.64) = (172.95290, -19.91490) BPZ = 0.928 [0.155--2.722] type = 11.00 (SB11_A_0_l) chisq2 = 0.41 ODDS = 0.11 z_cluster = 0.307