ABELL1300 ACS+IR detection object #1693
Color images and BPZ results
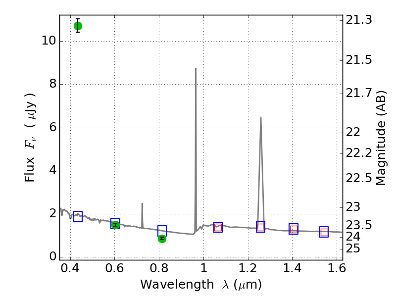
Catalog: 1693.cat
Black segments are analyzed here. Roll mouse over color images to view segments.
Best viewed in a wide browser window (1200 pixels or more). Download SED & P(z) plots to view larger versions.
In P(z) plots: Yellow lines mark the cluster redshift z = 0.307,
Object #1693 x,y = (4169, 2999) RA, Dec = (11:31:47.256, -19:54:52.92) = (172.94690, -19.91470) BPZ = 1.592 [1.497--1.929] type = 11.00 (SB11_A_0_l) chisq2 = 685.61 ODDS = 0.85 z_cluster = 0.307