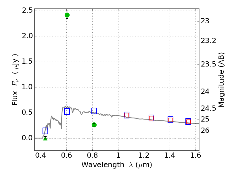
ABELL1300 ACS+IR detection object #1347
Color images and BPZ results
Catalog: 1347.cat
Black segments are analyzed here. Roll mouse over color images to view segments.
Best viewed in a wide browser window (1200 pixels or more). Download SED & P(z) plots to view larger versions.
In P(z) plots: Yellow lines mark the cluster redshift z = 0.307,
Object #1347 x,y = (4061, 3230) RA, Dec = (11:31:47.712, -19:54:38.88) = (172.94880, -19.91080) BPZ = 3.622 [3.539--3.686] type = 11.00 (SB11_A_0_l) chisq2 = 579.18 ODDS = 1.00 z_cluster = 0.307