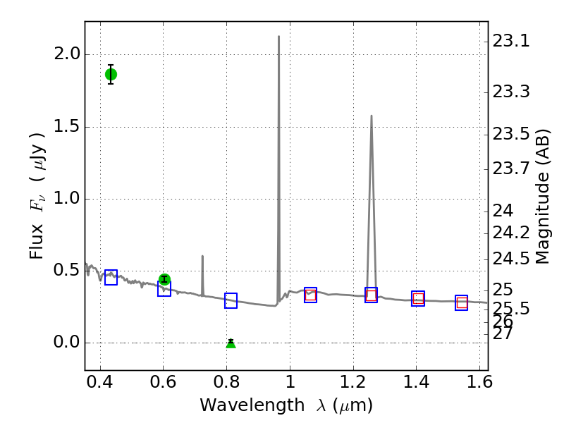
ABELL1300 ACS+IR detection object #1345

Color images and BPZ results
Catalog: 1345.cat
Black segments are analyzed here.   Roll mouse over color images to view segments.
Best viewed in a wide browser window (1200 pixels or more).   Download SED & P(z) plots to view larger versions.
In P(z) plots: Yellow lines mark the cluster redshift z = 0.307,  

Object #1345   x,y = (4069, 3228)   RA, Dec = (11:31:47.688, -19:54:39.24) = (172.94870, -19.91090)   BPZ = 1.593 [1.560--1.836]   type = 11.00 (SB11_A_0_l)   chisq2 = 459.00   ODDS = 0.90   z_cluster = 0.307