ABELL1300 ACS+IR detection object #1042
Color images and BPZ results
Catalog: 1042.cat
Black segments are analyzed here. Roll mouse over color images to view segments.
Best viewed in a wide browser window (1200 pixels or more). Download SED & P(z) plots to view larger versions.
In P(z) plots: Yellow lines mark the cluster redshift z = 0.307,
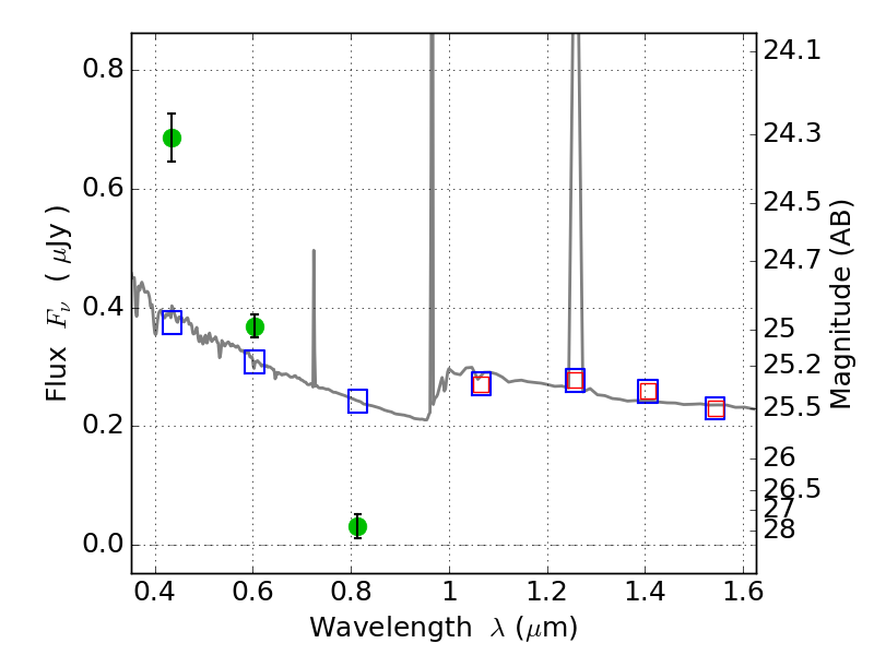
Object #1042 x,y = (188, 3460) RA, Dec = (11:32:04.200, -19:54:25.20) = (173.01750, -19.90700) BPZ = 1.594 [1.495--2.033] type = 11.00 (SB11_A_0_l) chisq2 = 90.52 ODDS = 0.67 z_cluster = 0.307