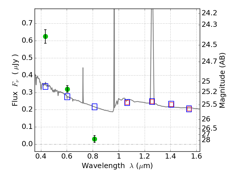
ABELL1300 ACS+IR detection object #4928

Color images and BPZ results
Catalog: 4928.cat
Black segments are analyzed here.   Roll mouse over color images to view segments.
Best viewed in a wide browser window (1200 pixels or more).   Download SED & P(z) plots to view larger versions.
In P(z) plots: Yellow lines mark the cluster redshift z = 0.307,  

Object #4928   x,y = (1154, 1088)   RA, Dec = (11:32:00.096, -19:56:47.40) = (173.00040, -19.94650)   BPZ = 1.594 [1.476--2.072]   type = 11.00 (SB11_A_0_l)   chisq2 = 81.51   ODDS = 0.59   z_cluster = 0.307