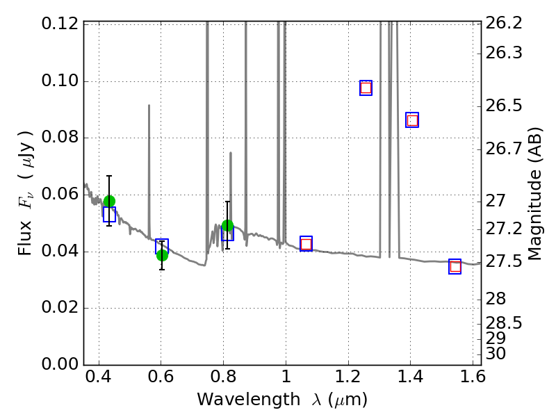
ABELL1300 ACS+IR detection object #4910

Color images and BPZ results
Catalog: 4910.cat
Black segments are analyzed here.   Roll mouse over color images to view segments.
Best viewed in a wide browser window (1200 pixels or more).   Download SED & P(z) plots to view larger versions.
In P(z) plots: Yellow lines mark the cluster redshift z = 0.307,  

Object #4910   x,y = (2607, 1105)   RA, Dec = (11:31:53.904, -19:56:46.68) = (172.97460, -19.94630)   BPZ = 1.007 [0.534--2.507]   type = 11.00 (SB11_A_0_l)   chisq2 = 0.40   ODDS = 0.15   z_cluster = 0.307