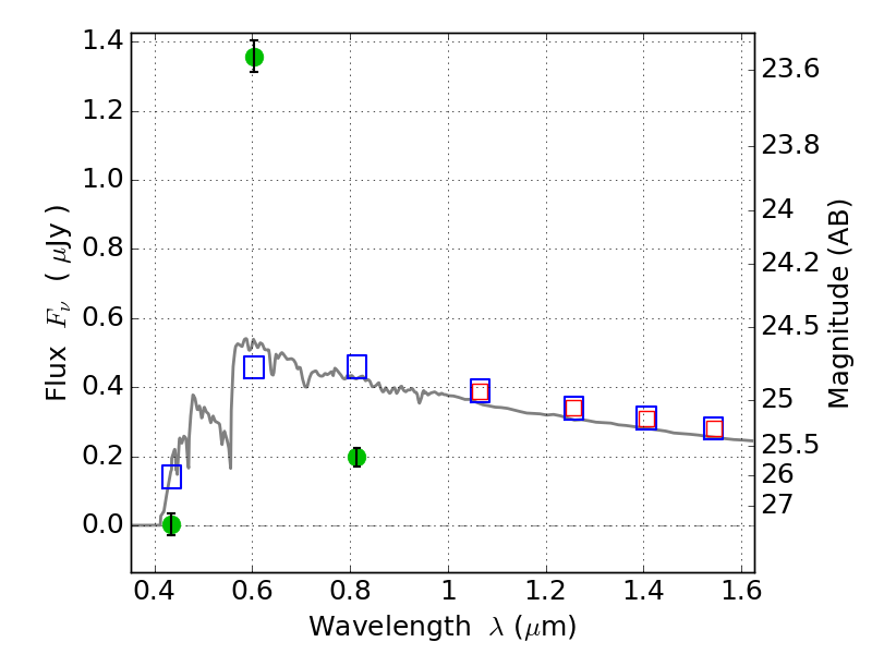
ABELL1300 ACS+IR detection object #4453

Color images and BPZ results
Catalog: 4453.cat
Black segments are analyzed here.   Roll mouse over color images to view segments.
Best viewed in a wide browser window (1200 pixels or more).   Download SED & P(z) plots to view larger versions.
In P(z) plots: Yellow lines mark the cluster redshift z = 0.307,  

Object #4453   x,y = (1034, 1473)   RA, Dec = (11:32:00.600, -19:56:24.36) = (173.00250, -19.94010)   BPZ = 3.585 [3.451--3.651]   type = 11.00 (SB11_A_0_l)   chisq2 = 327.38   ODDS = 1.00   z_cluster = 0.307