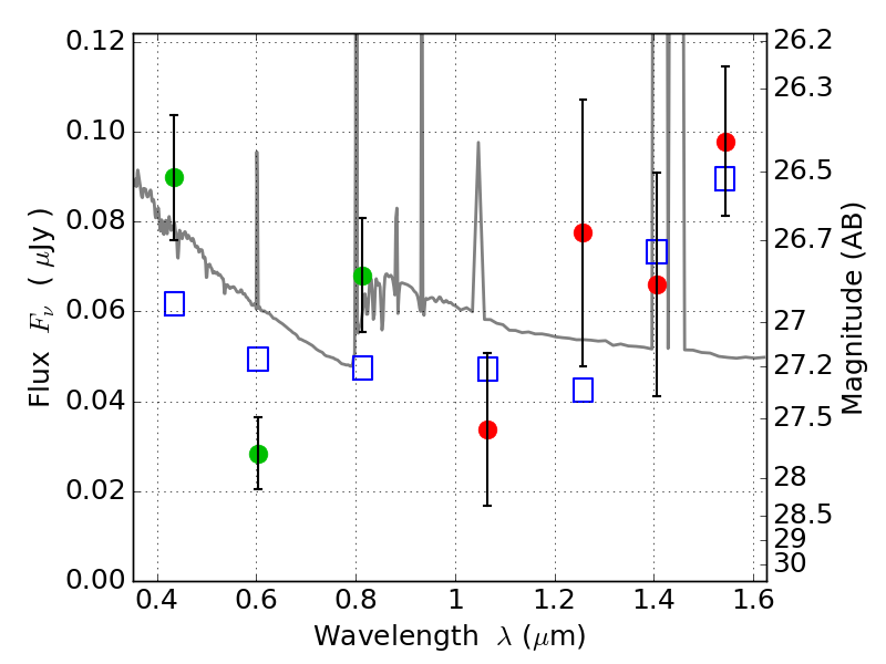
ABELL1300 ACS+IR detection object #4087

Color images and BPZ results
Catalog: 4087.cat
Black segments are analyzed here.   Roll mouse over color images to view segments.
Best viewed in a wide browser window (1200 pixels or more).   Download SED & P(z) plots to view larger versions.
In P(z) plots: Yellow lines mark the cluster redshift z = 0.307,  

Object #4087   x,y = (2756, 1667)   RA, Dec = (11:31:53.280, -19:56:12.84) = (172.97200, -19.93690)   BPZ = 1.149 [0.843--2.458]   type = 11.00 (SB11_A_0_l)   chisq2 = 3.05   ODDS = 0.24   z_cluster = 0.307