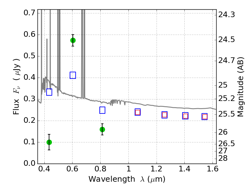
ABELL1300 ACS+IR detection object #3965

Color images and BPZ results
Catalog: 3965.cat
Black segments are analyzed here.   Roll mouse over color images to view segments.
Best viewed in a wide browser window (1200 pixels or more).   Download SED & P(z) plots to view larger versions.
In P(z) plots: Yellow lines mark the cluster redshift z = 0.307,  

Object #3965   x,y = (958, 1637)   RA, Dec = (11:32:00.912, -19:56:14.64) = (173.00380, -19.93740)   BPZ = 0.018 [0.010--0.046]   type = 11.00 (SB11_A_0_l)   chisq2 = 49.78   ODDS = 1.00   z_cluster = 0.307