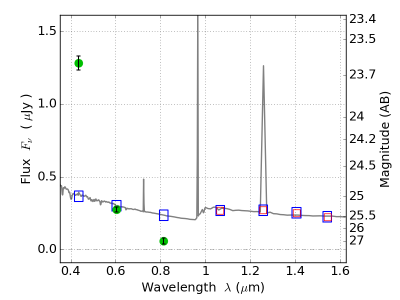
ABELL1300 ACS+IR detection object #3339

Color images and BPZ results
Catalog: 3339.cat
Black segments are analyzed here.   Roll mouse over color images to view segments.
Best viewed in a wide browser window (1200 pixels or more).   Download SED & P(z) plots to view larger versions.
In P(z) plots: Yellow lines mark the cluster redshift z = 0.307,  

Object #3339   x,y = (4580, 2078)   RA, Dec = (11:31:45.504, -19:55:48.00) = (172.93960, -19.93000)   BPZ = 1.592 [1.476--2.011]   type = 11.00 (SB11_A_0_l)   chisq2 = 315.10   ODDS = 0.77   z_cluster = 0.307