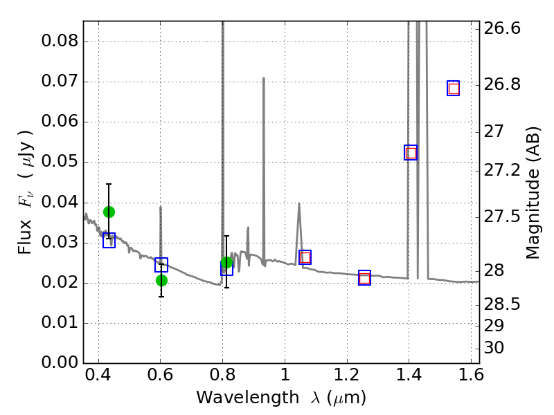
ABELL1300 ACS+IR detection object #3260

Color images and BPZ results
Catalog: 3260.cat
Black segments are analyzed here.   Roll mouse over color images to view segments.
Best viewed in a wide browser window (1200 pixels or more).   Download SED & P(z) plots to view larger versions.
In P(z) plots: Yellow lines mark the cluster redshift z = 0.307,  

Object #3260   x,y = (4230, 2110)   RA, Dec = (11:31:46.992, -19:55:46.20) = (172.94580, -19.92950)   BPZ = 1.152 [0.577--2.594]   type = 11.00 (SB11_A_0_l)   chisq2 = 1.22   ODDS = 0.11   z_cluster = 0.307