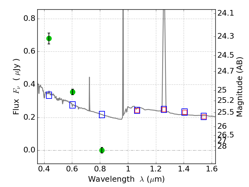
ABELL1300 ACS+IR detection object #2910

Color images and BPZ results
Catalog: 2910.cat
Black segments are analyzed here.   Roll mouse over color images to view segments.
Best viewed in a wide browser window (1200 pixels or more).   Download SED & P(z) plots to view larger versions.
In P(z) plots: Yellow lines mark the cluster redshift z = 0.307,  

Object #2910   x,y = (4492, 2336)   RA, Dec = (11:31:45.888, -19:55:32.52) = (172.94120, -19.92570)   BPZ = 1.594 [1.534--1.959]   type = 11.00 (SB11_A_0_l)   chisq2 = 143.04   ODDS = 0.80   z_cluster = 0.307