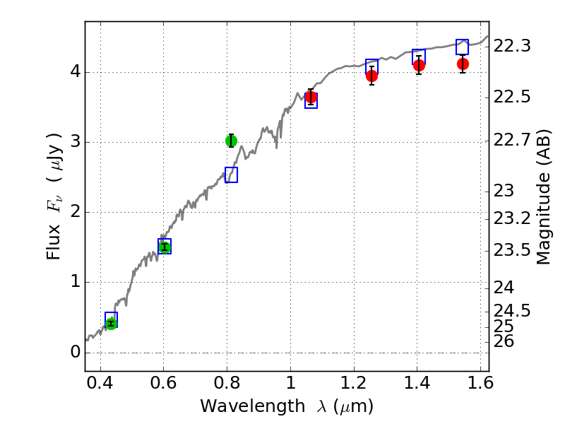
ABELL1300 ACS+IR detection object #2903

Color images and BPZ results
Catalog: 2903.cat
Black segments are analyzed here.   Roll mouse over color images to view segments.
Best viewed in a wide browser window (1200 pixels or more).   Download SED & P(z) plots to view larger versions.
In P(z) plots: Yellow lines mark the cluster redshift z = 0.307,  

Object #2903   x,y = (2922, 2332)   RA, Dec = (11:31:52.560, -19:55:32.88) = (172.96900, -19.92580)   BPZ = 0.124 [0.082--0.153]   type = 4.00 (Ell4_A_0)   chisq2 = 0.88   ODDS = 0.98   z_cluster = 0.307