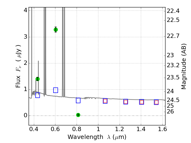
ABELL1300 ACS+IR detection object #2665

Color images and BPZ results
Catalog: 2665.cat
Black segments are analyzed here.   Roll mouse over color images to view segments.
Best viewed in a wide browser window (1200 pixels or more).   Download SED & P(z) plots to view larger versions.
In P(z) plots: Yellow lines mark the cluster redshift z = 0.307,  

Object #2665   x,y = (4404, 2503)   RA, Dec = (11:31:46.248, -19:55:22.80) = (172.94270, -19.92300)   BPZ = 0.016 [0.010--0.031]   type = 11.00 (SB11_A_0_l)   chisq2 = 501.49   ODDS = 1.00   z_cluster = 0.307