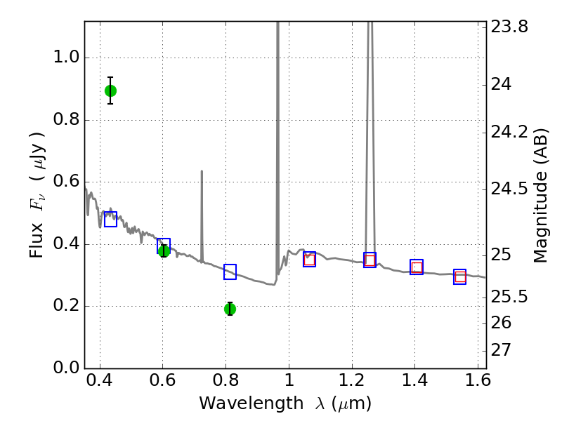
ABELL1300 ACS+IR detection object #2651

Color images and BPZ results
Catalog: 2651.cat
Black segments are analyzed here.   Roll mouse over color images to view segments.
Best viewed in a wide browser window (1200 pixels or more).   Download SED & P(z) plots to view larger versions.
In P(z) plots: Yellow lines mark the cluster redshift z = 0.307,  

Object #2651   x,y = (570, 2504)   RA, Dec = (11:32:02.568, -19:55:22.44) = (173.01070, -19.92290)   BPZ = 1.593 [1.456--2.051]   type = 11.00 (SB11_A_0_l)   chisq2 = 70.17   ODDS = 0.68   z_cluster = 0.307