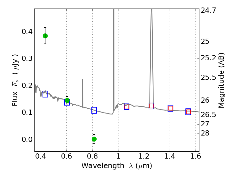
ABELL1300 ACS+IR detection object #2461

Color images and BPZ results
Catalog: 2461.cat
Black segments are analyzed here.   Roll mouse over color images to view segments.
Best viewed in a wide browser window (1200 pixels or more).   Download SED & P(z) plots to view larger versions.
In P(z) plots: Yellow lines mark the cluster redshift z = 0.307,  

Object #2461   x,y = (543, 2627)   RA, Dec = (11:32:02.688, -19:55:15.24) = (173.01120, -19.92090)   BPZ = 1.594 [1.410--2.178]   type = 11.00 (SB11_A_0_l)   chisq2 = 74.22   ODDS = 0.40   z_cluster = 0.307