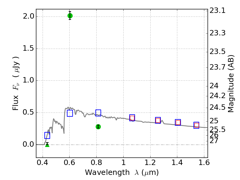
ABELL1300 ACS+IR detection object #2386

Color images and BPZ results
Catalog: 2386.cat
Black segments are analyzed here.   Roll mouse over color images to view segments.
Best viewed in a wide browser window (1200 pixels or more).   Download SED & P(z) plots to view larger versions.
In P(z) plots: Yellow lines mark the cluster redshift z = 0.307,  

Object #2386   x,y = (496, 2773)   RA, Dec = (11:32:02.880, -19:55:06.60) = (173.01200, -19.91850)   BPZ = 3.606 [3.509--3.672]   type = 11.00 (SB11_A_0_l)   chisq2 = 502.58   ODDS = 1.00   z_cluster = 0.307