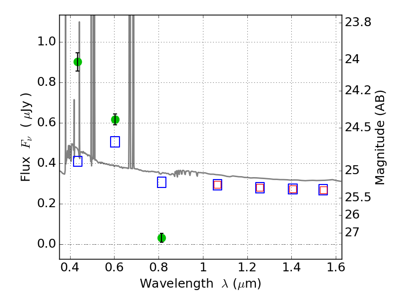
ABELL1300 ACS+IR detection object #2010

Color images and BPZ results
Catalog: 2010.cat
Black segments are analyzed here.   Roll mouse over color images to view segments.
Best viewed in a wide browser window (1200 pixels or more).   Download SED & P(z) plots to view larger versions.
In P(z) plots: Yellow lines mark the cluster redshift z = 0.307,  

Object #2010   x,y = (446, 2877)   RA, Dec = (11:32:03.096, -19:55:00.12) = (173.01290, -19.91670)   BPZ = 0.018 [0.010--0.036]   type = 11.00 (SB11_A_0_l)   chisq2 = 128.54   ODDS = 1.00   z_cluster = 0.307