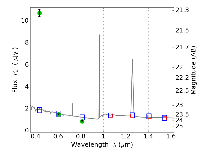
ABELL1300 ACS+IR detection object #1693

Color images and BPZ results
Catalog: 1693.cat
Black segments are analyzed here.   Roll mouse over color images to view segments.
Best viewed in a wide browser window (1200 pixels or more).   Download SED & P(z) plots to view larger versions.
In P(z) plots: Yellow lines mark the cluster redshift z = 0.307,  

Object #1693   x,y = (4169, 2999)   RA, Dec = (11:31:47.256, -19:54:52.92) = (172.94690, -19.91470)   BPZ = 1.592 [1.497--1.929]   type = 11.00 (SB11_A_0_l)   chisq2 = 685.61   ODDS = 0.85   z_cluster = 0.307