ABELL1300 ACS+IR detection object #1294

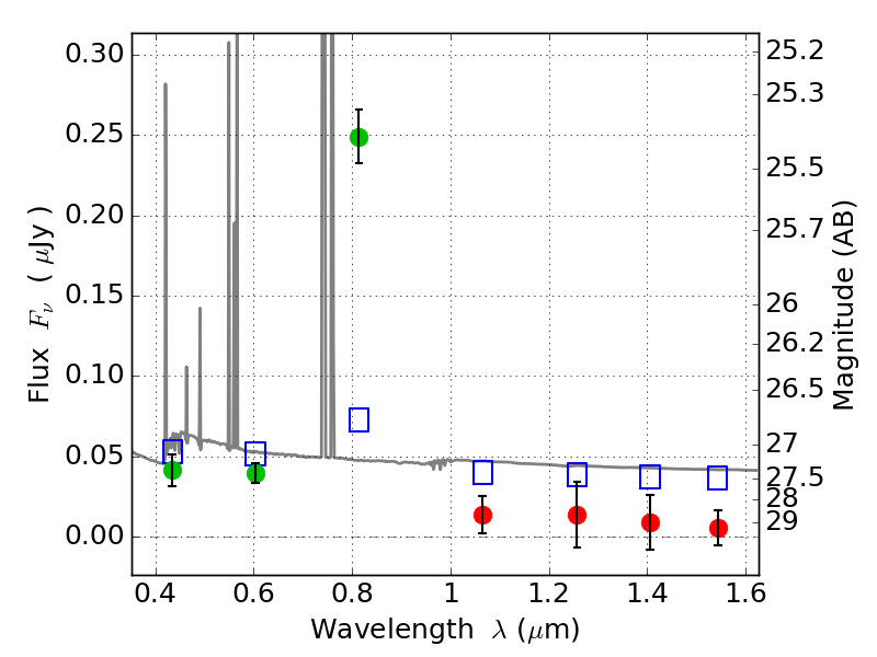
Color images and BPZ results
Catalog: 1294.cat
Black segments are analyzed here.   Roll mouse over color images to view segments.
Best viewed in a wide browser window (1200 pixels or more).   Download SED & P(z) plots to view larger versions.
In P(z) plots: Yellow lines mark the cluster redshift z = 0.307,  

Object #1294   x,y = (2261, 3324)   RA, Dec = (11:31:55.368, -19:54:33.48) = (172.98070, -19.90930)   BPZ = 0.132 [0.094--0.215]   type = 11.00 (SB11_A_0_l)   chisq2 = 29.56   ODDS = 0.88   z_cluster = 0.307