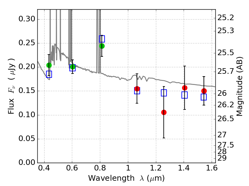
ABELL1300 ACS+IR detection object #17

Color images and BPZ results
Catalog: 17.cat
Black segments are analyzed here.   Roll mouse over color images to view segments.
Best viewed in a wide browser window (1200 pixels or more).   Download SED & P(z) plots to view larger versions.
In P(z) plots: Yellow lines mark the cluster redshift z = 0.307,  

Object #17   x,y = (2171, 3683)   RA, Dec = (11:31:55.752, -19:54:11.88) = (172.98230, -19.90330)   BPZ = 0.191 [0.085--0.769]   type = 11.00 (SB11_A_0_l)   chisq2 = 0.29   ODDS = 0.41   z_cluster = 0.307