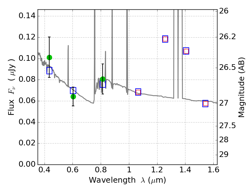
ABELL1300 ACS+IR detection object #1777

Color images and BPZ results
Catalog: 1777.cat
Black segments are analyzed here.   Roll mouse over color images to view segments.
Best viewed in a wide browser window (1200 pixels or more).   Download SED & P(z) plots to view larger versions.
In P(z) plots: Yellow lines mark the cluster redshift z = 0.307,  

Object #1777   x,y = (412, 2997)   RA, Dec = (11:32:03.240, -19:54:52.92) = (173.01350, -19.91470)   BPZ = 1.026 [0.425--2.566]   type = 11.00 (SB11_A_0_l)   chisq2 = 0.69   ODDS = 0.13   z_cluster = 0.307