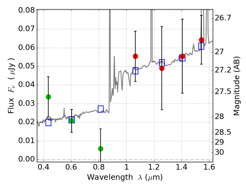
WHL0137-08 IR detection object #977

Color images and BPZ results
Catalog: 977.cat
Black segments are analyzed here.   Roll mouse over color images to view segments.
Best viewed in a wide browser window (1200 pixels or more).   Download SED & P(z) plots to view larger versions.
In P(z) plots: Yellow lines mark the cluster redshift z = 0.566,  

Object #977   x,y = (1880, 1757)   RA, Dec = (01:37:27.624, -8:28:06.24) = (24.36510, -8.46840)   BPZ = 1.360 [0.826--2.711]   type = 9.20 (SB2_B10 - SB3_B10)   stellarity = 0.06   chisq2 = 1.34   ODDS = 0.21   z_cluster = 0.566