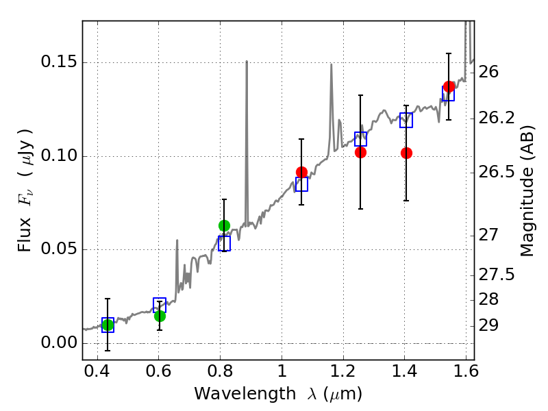
WHL0137-08 IR detection object #648

Color images and BPZ results
Catalog: 648.cat
Black segments are analyzed here.   Roll mouse over color images to view segments.
Best viewed in a wide browser window (1200 pixels or more).   Download SED & P(z) plots to view larger versions.
In P(z) plots: Yellow lines mark the cluster redshift z = 0.566,  

Object #648   x,y = (1988, 2340)   RA, Dec = (01:37:27.192, -8:27:31.32) = (24.36330, -8.45870)   BPZ = 0.773 [0.372--5.231]   type = 6.70 (Scd_B10 - Sbc_B10)   stellarity = 0.00   chisq2 = 0.30   ODDS = 0.19   z_cluster = 0.566