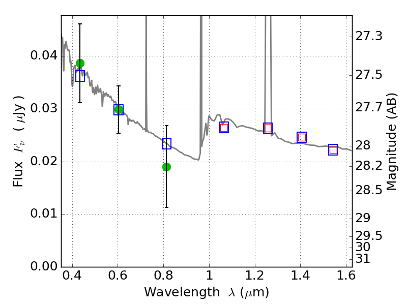
WHL0137-08 ACS+IR detection object #843

Color images and BPZ results
Catalog: 843.cat
Black segments are analyzed here.   Roll mouse over color images to view segments.
Best viewed in a wide browser window (1200 pixels or more).   Download SED & P(z) plots to view larger versions.
In P(z) plots: Yellow lines mark the cluster redshift z = 0.566,  

Object #843   x,y = (2455, 3763)   RA, Dec = (01:37:25.296, -8:26:05.64) = (24.35540, -8.43490)   BPZ = 1.593 [0.703--2.756]   type = 11.00 (SB11_A_0_l)   chisq2 = 0.39   ODDS = 0.15   z_cluster = 0.566