WHL0137-08 ACS+IR detection object #5589

Color images and BPZ results
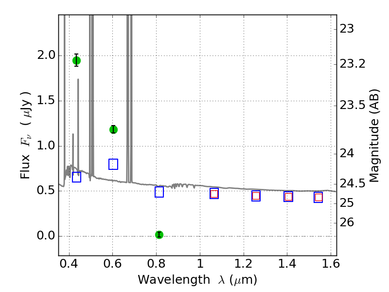
Catalog: 5589.cat
Black segments are analyzed here.   Roll mouse over color images to view segments.
Best viewed in a wide browser window (1200 pixels or more).   Download SED & P(z) plots to view larger versions.
In P(z) plots: Yellow lines mark the cluster redshift z = 0.566,  

Object #5589   x,y = (3357, 386)   RA, Dec = (01:37:21.648, -8:29:28.32) = (24.34020, -8.49120)   BPZ = 0.019 [0.010--0.032]   type = 11.00 (SB11_A_0_l)   chisq2 = 323.23   ODDS = 1.00   z_cluster = 0.566