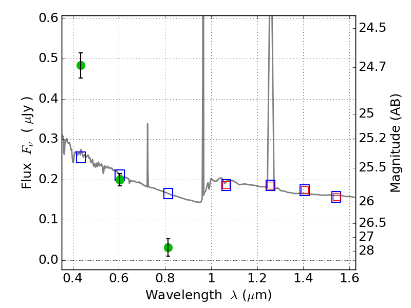
WHL0137-08 ACS+IR detection object #5585

Color images and BPZ results
Catalog: 5585.cat
Black segments are analyzed here.   Roll mouse over color images to view segments.
Best viewed in a wide browser window (1200 pixels or more).   Download SED & P(z) plots to view larger versions.
In P(z) plots: Yellow lines mark the cluster redshift z = 0.566,  

Object #5585   x,y = (3365, 389)   RA, Dec = (01:37:21.624, -8:29:28.32) = (24.34010, -8.49120)   BPZ = 1.593 [1.406--2.142]   type = 11.00 (SB11_A_0_l)   chisq2 = 64.32   ODDS = 0.46   z_cluster = 0.566